真空计算
该部分将简要的讨论两个真空系统中的两个基本问题:(1)根据真空设备产生的气体量、工作压力、极限真空及抽气时间,选择合适的主泵,确定管路及选择真空元件;(2)计算真空设备的抽气时间,或计算给定时间下真空设备所能达到的压力。
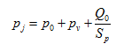
1.真空室的极限压力
真空室能够达到的极限真空,由下式决定:
其中:pj 为真空室能够到达的极限真空,[Pa];po为真空泵的极限真空,[Pa];pv 为真空室内材料的蒸汽压,[Pa];Q0 为空载时长期抽气后真空室的气体负荷,包括漏气、材料表面出气等,[Pa∙L/s];为真空室抽气口处泵的有效抽速,[L/s]。
由上式可知,真空室的极限压力总是低于真空泵机组的极限真空,两者之差取决于Q0 /Sp,抽气口处泵抽速一定的情况下,真空泵极限真空正比于真空室的漏气和出气。真空室内材料的蒸汽压也会影响极限真空。而对于漏气率一般选取低于工作状态下气体负荷(工艺生产中放出的气体量)的1/10。
2.真空室的工作压力
真空室正常工作压力由下式决定:
其中:pg为真空室工作压力,[Pa],Q1 为工艺生产中真空室的气体负荷,[Pa∙L/s]。
由上式可知,真空室工作压力要高于其极限压力,越接近极限真空,真空抽气设备经济效率越低,因此做好在主泵最大抽速附近选择工作压力。一般工作压力多半选择在高于极限压力半个到一个数量级。
3.真空室抽气口处泵的有效抽速
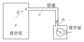
最简单的真空抽气系统由真空室、管路及真空泵依次连接组成,如下图:
图1真空抽气系统示意图
真空室的气体负荷Q 通过流导为U 的管路被真空泵机组抽走,其中S 为真空室抽气口的有效抽速,而p、pp 分别为管道入口和出口压力,Sp 为真空泵的抽速,在动态平衡时:
由上式可知,如果管道流导U 很大,即U远大于Sp 时,S≈Sp,此时的有效抽速S 只与泵相关,若U 远小于Sp 时,有效抽速S 则受到管道流导的限制。因此为了提高泵的有效抽速,必须使管道流导尽可能大,因而管道应当短而粗,高真空管道更应如此。在一般情况下,对于高真空管道,泵的抽速损失不应大于40% ~ 60%,对于低真空管道,其损失允许5% ~ 10%。
4.抽气时间计算
4.1低真空及中真空下
在粗真空、低真空下,真空设备本身内表面的出气量与设备总的气体负荷相比,可以忽略不计,因此此时计算抽气时间不考虑出气的影响,假定泵的抽速在其抽气范围内近似为常量切管道流导很大时(U 远大于Sp):
若漏气量很小以至于可以忽略时,真空设备由pi 降到p 所需要的抽气时间t [s]:
若漏气量Q0 很大以至于不能忽略时,真空室所能达到的极限压力P0= Q0 /S,真空设备由Pi 降到P 所需要的抽气时间t [s]:
其中,t 为抽气时间,[s];V 为真空设备容积,[L];S 为泵的有效抽速,[L/s];Sp 为泵的名义抽速,[L/s];p 为设备经过时间t抽气后的压力,[Pa];Pi 为设备开始抽气时的压力,[Pa];P0 为真空室的极限压力,[Pa];U 为管道的流导,[L/s];Q0 为空载时长期抽气后真空室内的气体负荷,包括漏气及材料表面出气,[Pa∙L/s]。
4.2高真空下
在高真空领域,真空泵主要抽走的不是空间中的气体,而是材料出气产生的气体,这一点与低真空范围是不同的。因而高真空抽气时间主要取决于材料出气的时间。在刚开始抽气的几个小时内,材料出气率是变量,因而真空室的总出气量是随抽气时间而衰减,计算到达某一压力所需要的时间由总出气量和泵有效抽速的比值决定,一般可用查材料出气率曲线和绘图的方法进行计算。
例如计算抽到压力P 所需的抽气时间步骤:
(1)计算真空室平衡压力为P 时的出气量Q,其值等于泵或泵机组在压力为P 时的排气量[Pa∙L/s]:
(2)计算真空室中材料表面为A 的平均气速率 [Pa∙L/s]:
(3)根据材料出气率曲线(可参考《真空工程设计》-刘玉魁),查出的点,与此点相对应的时间,即为达到平衡压时所需要的时间。
4.3真空室压力降至某一压力值时的抽气时间
真空室压力降到初始压力的1/2时的抽气时间:
真空室压力降到初始压力的1/10时的抽气时间:
真空室压力降到初始压力的1/e时的抽气时间:
其中,V 为真空室的容积,[L];S 为泵或机组对真空室抽气口的有效抽速,[L/s]。
5.选泵抽速及前级泵配置
下图为典型的涡轮分子泵抽气原理图,由于涡轮分子泵不能直接抽大气,故需要用前级泵(一般采用各种类型的机械泵)将真空室抽至50 ~ 100 Pa再启动涡轮分子泵,因此涡轮分子泵选型时需要注意和前级泵的适配。
图2典型涡轮分子泵抽气原理图
5.1主泵选择及抽速计算
选取主泵是设计真空系统的关键问题,主要依据是:
- 空载时真空室所需要达到的极限真空度,通常主泵极限真空要比真空室的极限真空高半个到一个数量级。
- 根据真空室进行工艺生产时所需要的工作压力,主要由以下步骤:
(1)计算主泵的有效抽速S
其中,pg 为真空室要求的工作压力,[Pa];Q 为真空室的总气体量,[Pa∙L/s],通常由三部分组成,真空室工作过程中产生的气体量、真空室及真空元件的放气量、真空室的总漏气量。
(2)确定主泵的抽速Sp
根据有效抽速S 以及泵与真空室之间的连接管道的流导U 确定主泵的抽速Sp,根据流导的串联公式:
通常情况下,计算主泵的有效抽速S 需要增大20% ~ 30%或更大。
- 根据被抽气体种类、成分、温度以及气体含灰尘杂质情况选择主泵。
- 根据真空室对油污染要求的不同选择有油、无油或半无油真空泵。
- 根据投资及日常维护等经济指标来选择。
5.2前级泵配置及抽速确定
前级泵选择的原则是:
- 要求前级泵造成主泵的工作所需的预真空条件;
- 抽走主泵产生的最大气体量;
- 必须满足主泵进气口能工作的最大压力时所需的预抽时间要求。
对于涡轮分子泵的前级泵,抽速应当满足:
其中,Sp为前级泵的抽速,[L/s];Pj 为涡轮分子泵前级压力,[Pa];Qmax 为最大流量,[Pa∙L/s],涡轮分子泵平稳抽速范围为1E-1~ 1E-4Pa,因此最大流量应等于1E-1Pa下的抽速与该压力之积。
具体抽速可由下式计算:
其中,t 为预抽时间,[s];Pi 为设备开始抽气时的压力,[Pa];Kg 为修正系数,与设备抽气终止时的压强P 有关,P 在1E5~ 1E4 Pa范围内时Kg=1,P 在1E4 ~ 1E3Pa范围内时Kg=1.25,P 在1E3~ 1E2Pa范围内时Kg=1.5,P在1E2~ 10 Pa范围内时Kg=2,P 在10 ~ 1 Pa范围内时Kg=4。
参考文献:
[1]刘玉魁.真空工程设计[M].北京:化学工业出版社,2016.
[2]达道安.真空设计手册[M].北京:国防工业出版社,2004.
[3] GB/T 3163-2007,真空技术术语[S].
[4] GB/T 7774-2007,真空技术涡轮分子泵性能参数的测量[S].
